IL8-HM1BP | 价格

IL8-HM1BP-100μg / 询价

IL8-HM1BP-500μg / 询价

IL8-HM1BP-500μgx2 / 询价

Human IL-18BP Protein

产品信息(Product Info)
表达区间及表达系统(Source)

Recombinant Human IL-18BP Protein is expressed from HEK293 with His tag at the C-Terminus.
It contains Thr31-Gly194 [Accession | O95998-2].

分子量大小(Molecular Weight)

The protein has a predicted MW of 18.7 kDa. Due to glycosylation, the protein migrates to 40-60 kDa based on Bis-Tris PAGE result.

纯度(Purity)

> 95% as determined by Bis-Tris PAGE
> 90% as determined by HPLC

内毒素(Endotoxin)

Less than 1 EU per μg by the LAL method.

制剂(Formulation)

Lyophilized from 0.22μm filtered solution in PBS (pH 7.4). Normally 8% trehalose is added as protectant before lyophilization.

重构方法(Reconstitution)

Dissolve the lyophilized protein in distilled water. Please refer to the Certificate of Analysis for detailed instructions.

存储(Storage)

-20 to -80°C for 12 months as supplied from date of receipt.
-80°C for 3 months after reconstitution.
Recommend to aliquot the protein into smaller quantities for optimal storage. Please minimize freeze-thaw cycles.

产品数据(Assay Data)
Bis-Tris PAGE
Human IL-18BP on Bis-Tris PAGE under reduced condition. The purity is greater than 95%.
SEC-HPLC
The purity of Human IL-18BP is greater than 90% as determined by SEC-HPLC.
BLI Data
Loaded Human IL-18BP, His Tag on Anti-His-Biosensor can bind Human IL-18, No Tag (Cat. IL1-HE018) with an affinity constant of 1.80 nM as determined in BLI assay (Gator® Prime). (QC Test)
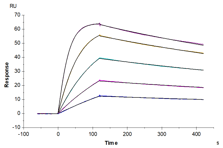
SPR Data
Human IL-18BP, His Tag captured on CM5 Chip via Anti-his antibody can bind Human IL-18, No Tag (Cat. IL1-HE018) with an affinity constant of 0.41 nM as determined in SPR assay (Biacore T200).
Cell Based Assay
Measured by its ability to inhibit the IL-18-induced response of human natural killer lymphoma NK-92 cells. The ED50 for this effect is 0.04 - 0.08 µg/mL in the presence of 30 ng/mL of recombinant Human IL-18.
背景(Background)

Cytokines were the first modern immunotherapies to produce durable responses in patients with advanced cancer,components of the interleukin-18 (IL-18) pathway are upregulated on tumour-infiltrating lymphocytes, suggesting that IL-18 therapy could enhance anti-tumour immunity. IL-18BP, a high-affinity IL-18 decoy receptor, is frequently upregulated in diverse human and mouse tumours and limits the anti-tumour activity of IL-18 in mice.

分子别名(Synonyms)

IL-18BP; Igifbp

文献(References)

(1) Zhou T, Damsky W, Weizman OE, McGeary MK, Hartmann KP, Rosen CE, Fischer S, Jackson R, Flavell RA, Wang J, Sanmamed MF, Bosenberg MW, Ring AM. IL-18BP is a secreted immune checkpoint and barrier to IL-18 immunotherapy. Nature. 2020 Jul;583(7817):609-614. doi: 10.1038/s41586-020-2422-6. Epub 2020 Jun 24. PMID: 32581358; PMCID: PMC7381364.

Note: HPLC results always come from liquid protein, due to absorption peak interference of trehalose in lyophilized powder.