FGF-HM4RA | 价格

FGF-HM4RA-100μg / 询价

FGF-HM4RA-500μg / 询价

FGF-HM4RA-500μgx2 / 询价

Non-biotinylated Human FGFR1 alpha (IIIc) Protein

产品信息(Product Info)
表达区间及表达系统(Source)

Recombinant Human FGFR1 alpha (IIIc) Protein is expressed from HEK293 with His tag and Avi tag at the C-Terminus.
It contains Arg22-Glu374 [Accession | P11362-7].

分子量大小(Molecular Weight)

The protein has a predicted MW of 42 kDa. Due to glycosylation, the protein migrates to 68-83 kDa based on Bis-Tris PAGE result.

纯度(Purity)

> 95% as determined by Bis-Tris PAGE
> 95% as determined by HPLC

内毒素(Endotoxin)

Less than 1 EU per μg by the LAL method.

制剂(Formulation)

Lyophilized from 0.22μm filtered solution in PBS (pH 7.4). Normally 8% trehalose is added as protectant before lyophilization.

重构方法(Reconstitution)

Dissolve the lyophilized protein in distilled water. Please refer to the Certificate of Analysis for detailed instructions.

存储(Storage)

-20 to -80°C for 12 months as supplied from date of receipt.
-80°C for 3 months after reconstitution.
Recommend to aliquot the protein into smaller quantities for optimal storage. Please minimize freeze-thaw cycles.

产品数据(Assay Data)
Bis-Tris PAGE

Human FGFR1 alpha (IIIc) on Bis-Tris PAGE under reduced conditions. The purity is greater than 95%.

SEC-HPLC

The purity of Human FGFR1 alpha (IIIc) is greater than 95% as determined by SEC-HPLC.

ELISA Data

Immobilized Human FGFR1 alpha (IIIc) at 0.5μg/ml (100μl/Well) on the plate. Dose response curve for Anti-FGFR1 Antibody, hFc Tag with the EC50 of 4.6ng/ml determined by ELISA (QC Test).

ELISA Data

Immobilized Human FGFR1 alpha (IIIc), His Tag at 5μg/ml (100μl/well) on the plate. Dose response curve for Biotinylated Human FGF1, His-Avi Tag with the EC50 of 60.0ng/ml determined by ELISA.

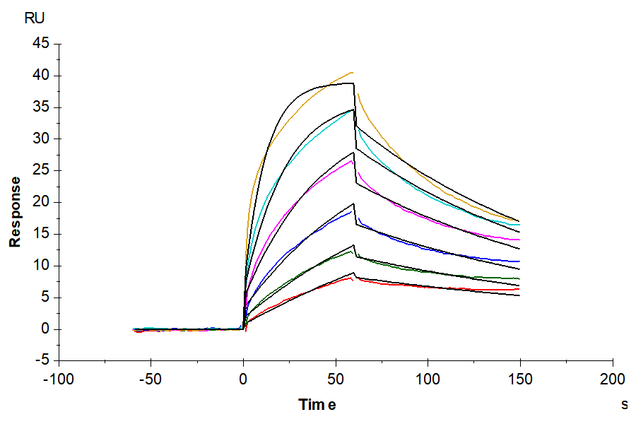
SPR Data

Human FGFR1 alpha (IIIc), His Tag captured on CM5 Chip via Anti-His Antibody can bind Human FGF1, No tag with an affinity constant of 42.45 nM as determined in SPR assay (Biacore T200).

背景(Background)

Fibroblast growth factors (FGFs) comprise a family of at least eighteen structurally related proteins that are involved in a multitude of physiological and pathological cellular processes, including cell growth, differentiation, angiogenesis, wound healing and tumorgenesis. The biological activities of the FGFs are mediated by a family of type I transmembrane tyrosine kinases which undergo dimerization and autophosphorylation after ligand binding.FGFR1 is tyrosine-protein kinase that acts as cell-surface receptor for fibroblast growth factors and plays an essential role in the regulation of embryonic development, cell proliferation, differentiation and migration. Required for normal mesoderm patterning and correct axial organization during embryonic development, normal skeletogenesis and normal development of the gonadotropin-releasing hormone (GnRH) neuronal system.

分子别名(Synonyms)

FGF R1a; FGFR1 alpha

文献(References)

(1)G?Ke F , G?Ke A , Von M?Ssenhausen A , et al. Fibroblast Growth Factor Receptor 1 as a Putative Therapy Target in Colorectal Cancer[J]. Digestion, 2013, 88(3):172-181.

Note: HPLC results always come from liquid protein, due to absorption peak interference of trehalose in lyophilized powder.