TGF-HM5R2-100μg / 询价
TGF-HM5R2-500μg / 询价
TGF-HM5R2-500μgx2 / 询价
|
表达区间及表达系统(Source)
|
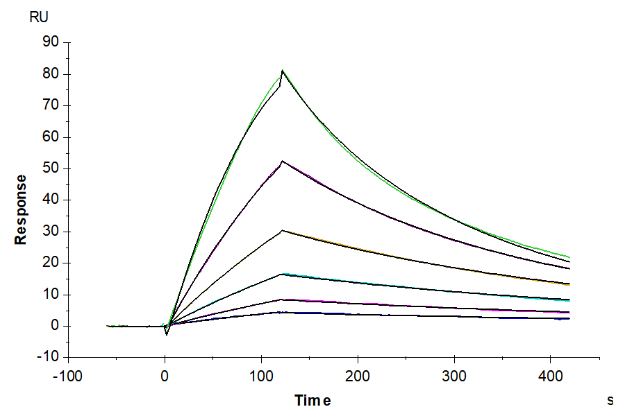
Recombinant Human TGF-beta RII/TGFBR2 Protein is expressed from HEK293 with hFc (IgG1) tag at the N-Terminus.It contains Ile24-Asp159 [Accession | P37173-1]. |
|
分子量大小(Molecular Weight)
|
The protein has a predicted MW of 44.2 kDa. Due to glycosylation, the protein migrates to 50-68 kDa based on Bis-Tris PAGE result. |
|
纯度(Purity)
|
> 95% as determined by Bis-Tris PAGE |
|
内毒素(Endotoxin)
|
Less than 1 EU per μg by the LAL method. |
|
制剂(Formulation)
|
Lyophilized from 0.22μm filtered solution in PBS (pH 7.4). Normally 8% trehalose is added as protectant before lyophilization. |
|
重构方法(Reconstitution)
|
Dissolve the lyophilized protein in distilled water. Please refer to the Certificate of Analysis for detailed instructions. |
|
存储(Storage)
|
-20 to -80°C for 24 months as supplied from date of receipt. |
Recombinant Human TGF-beta RII/TGFBR2 Protein is expressed from HEK293 with hFc (IgG1) tag at the N-Terminus.It contains Ile24-Asp159 [Accession | P37173-1].
The protein has a predicted MW of 44.2 kDa. Due to glycosylation, the protein migrates to 50-68 kDa based on Bis-Tris PAGE result.
> 95% as determined by Bis-Tris PAGE
> 95% as determined by HPLC
Less than 1 EU per μg by the LAL method.
Lyophilized from 0.22μm filtered solution in PBS (pH 7.4). Normally 8% trehalose is added as protectant before lyophilization.
Dissolve the lyophilized protein in distilled water. Please refer to the Certificate of Analysis for detailed instructions.
-20 to -80°C for 24 months as supplied from date of receipt.
-80°C for 3 months after reconstitution.
Recommend to aliquot the protein into smaller quantities for optimal storage. Please minimize freeze-thaw cycles.
The TGFBR2 gene provides instructions for making a protein called transforming growth factor-beta (TGF-β) receptor type 2. This receptor transmits signals from the cell surface into the cell through a process called signal transduction. Through this type of signaling, the environment outside the cell affects activities inside the cell such as stimulation of cell growth and division.
TGFR2; TGFBR2; TbetaR-II; TGFβR2; TbetaR-II; TGFβR2; AAT3; FAA3; LDS1B; LDS2; LDS2B; MFS2; RIIC; TAAD2; TβR-II; TβR-II
(1)Fricke F, Lee J, Michalak M, et al. TGFBR2-dependent alterations of exosomal cargo and functions in DNA mismatch repair-deficient HCT116 colorectal cancer cells. Cell Commun Signal. 2017;15(1):14. Published 2017 Apr 4. doi:10.1186/s12964-017-0169-y.
TGF-HM5R2-100μg / 询价
TGF-HM5R2-500μg / 询价
TGF-HM5R2-500μgx2 / 询价
| 货号* | 规格* | 名称 | 数量* | |
|---|---|---|---|---|
| 货号* | 形态* | 批号* | |
|---|---|---|---|
| 货号* | 形态* | 批号* | |
|---|---|---|---|
| 货号* | 批号* | |
|---|---|---|
| 货号* | 规格* | 批号* |
|---|---|---|
| Buffer 货号* | Buffer 规格* | Buffer 批号* |
|---|---|---|
| 货号* | 批号* | |
|---|---|---|