GPR-HM15NB-100μg / 询价
GPR-HM15NB-100μgx5 / 询价
GPR-HM15NB-100μgx10 / 询价
|
表达区间及表达系统(Source)
|
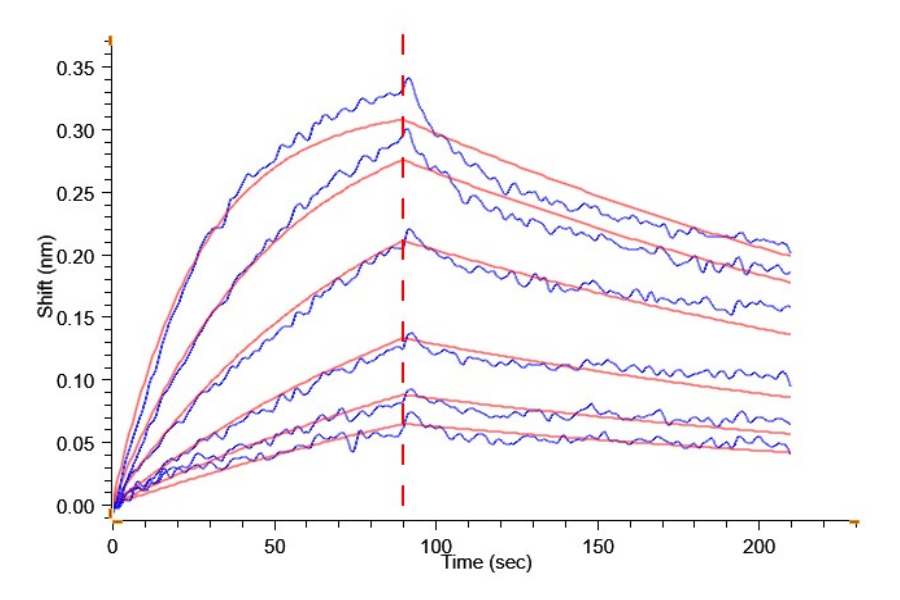
Recombinant Biotinylated Human GPRC5D Nanodisc is expressed from HEK293 with His tag at the C-terminus.It contains Met1-Val345 [Accession | Q9NZD1-1]. |
|
分子量大小(Molecular Weight)
|
The protein has a predicted MW of 51.70 kDa. |
|
内毒素(Endotoxin)
|
Less than 1 EU per μg by the LAL method. |
|
制剂(Formulation)
|
Supplied as 0.22 μm filtered solution in PBS, 200mM L-arginine (pH 7.4). Notice: Not recommended for flow cytometry in mammalian cells. |
|
存储(Storage)
|
Valid for 6 months from date of receipt when stored at -80°C. |
Recombinant Biotinylated Human GPRC5D Nanodisc is expressed from HEK293 with His tag at the C-terminus.It contains Met1-Val345 [Accession | Q9NZD1-1].
The protein has a predicted MW of 51.70 kDa.
Less than 1 EU per μg by the LAL method.
Supplied as 0.22 μm filtered solution in PBS, 200mM L-arginine (pH 7.4). Notice: Not recommended for flow cytometry in mammalian cells.
Valid for 6 months from date of receipt when stored at -80°C.
Recommend to aliquot the protein into smaller quantities for optimal storage. Please minimize freeze-thaw cycles.
Chimeric antigen receptor (CAR) T cells, a type of cell-based immunotherapy, have shown some promising results in multiple myeloma, a bone marrow cancer.The orphan G protein–coupled receptor, class C group 5 member D (GPRC5D), normally expressed only in the hair follicle, Using quantitative immunofluorescence, we determined that GPRC5D protein is expressed on CD138 MM cells from primary marrow samples with a distribution that was similar to, but independent of, BCMA.
GPRC5D; MGC129713; MGC129714; orphan G-protein coupled receptor
(1) Smith EL, Harrington K, Staehr M, Masakayan R, Jones J, Long TJ, Ng KY, Ghoddusi M, Purdon TJ, Wang X, Do T, Pham MT, Brown JM, De Larrea CF, Olson E, Peguero E, Wang P, Liu H, Xu Y, Garrett-Thomson SC, Almo SC, Wendel HG, Riviere I, Liu C, Sather B, Brentjens RJ. GPRC5D is a target for the immunotherapy of multiple myeloma with rationally designed CAR T cells. Sci Transl Med. 2019 Mar 27;11(485):eaau7746. doi: 10.1126/scitranslmed.aau7746. PMID: 30918115; PMCID: PMC7508042.
GPR-HM15NB-100μg / 询价
GPR-HM15NB-100μgx5 / 询价
GPR-HM15NB-100μgx10 / 询价
| 货号* | 规格* | 名称 | 数量* | |
|---|---|---|---|---|
| 货号* | 形态* | 批号* | |
|---|---|---|---|
| 货号* | 形态* | 批号* | |
|---|---|---|---|