FRN-MM101 | 价格

FRN-MM101-100μg / 询价

FRN-MM101-500μg / 询价

FRN-MM101-500μgx2 / 询价

Mouse FcRn Protein

产品信息(Product Info)
表达区间及表达系统(Source)

Recombinant Mouse FcRn Protein is expressed from HEK293 with His tag at the C-Terminus of FCGRT.
It contains Ser22-Ser297 (FCGRT) and Ile21-Met119 (B2M) [Accession | Q61559(FCGRT)&P01887(B2M)].

分子量大小(Molecular Weight)

The protein has a predicted MW of 32.1 kDa (FCGRT)&11.7 kDa (B2M). Due to glycosylation, the protein migrates to 50-55 kDa (FCGRT)&14-15 kDa (B2M) based on Bis-Tris PAGE result.

纯度(Purity)

> 95% as determined by Bis-Tris PAGE
> 95% as determined by HPLC

内毒素(Endotoxin)

Less than 1 EU per ug by the LAL method.

制剂(Formulation)

Lyophilized from 0.22 μm filtered solution in PBS (pH 7.4). Normally 8% trehalose is added as protectant before lyophilization.

重构方法(Reconstitution)

Dissolve the lyophilized protein in distilled water. Please refer to the Certificate of Analysis for detailed instructions.

存储(Storage)

-20 to -80°C for 12 months as supplied from date of receipt.
-80°C for 3 months after reconstitution.
Recommend to aliquot the protein into smaller quantities for optimal storage. Please minimize freeze-thaw cycles.

产品数据(Assay Data)
Bis-Tris PAGE
Mouse FcRn on Bis-Tris PAGE under reduced condition. The purity is greater than 95%.
SEC-HPLC
The purity of Mouse FcRn is greater than 95% as determined by SEC-HPLC.
BLI Data
Loaded Mouse FcRn, His Tag on Anti-His-Biosensor can bind Trastuzumab, hFc Tag with an affinity constant of 40.00 nM as determined in BLI assay (Gator® Prime). (QC Test)
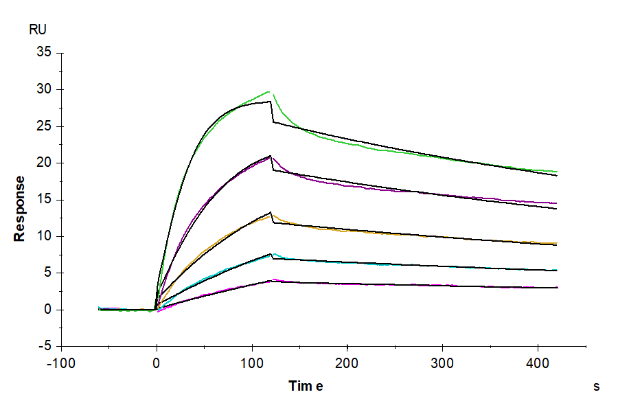
SPR Data
Mouse FcRn, His Tag captured on CM5 Chip via anti-his antibody can bind Trastuzumab with an affinity constant of 1.76 nM as determined in SPR assay (Biacore T200).
 
Mouse Serum Albumin, His Tag immobilized on CM5 Chip can bind Mouse FcRn, His Tag with an affinity constant of 20.82 nM as determined in SPR assay (Biacore T200).
 
Mouse FcRn, His Tag captured on CM5 Chip via Anti-His Antibody can bind Mouse IgG2a Fc, No Tag with an affinity constant of 2.72 nM as determined in SPR assay (Biacore T200).
 
Mouse FcRn, His Tag captured on CM5 Chip via anti-his antibody can bind Mouse IgG1 Fc, No Tag with an affinity constant of 15.09 nM as determined in SPR assay (Biacore T200).
背景(Background)

The neonatal Fc receptor (FCRN) is an approximately 45 kDa transmembrane glycoprotein with structural homology to MHC class I proteins. It is widely expressed in endothelial and epithelial cells and plays an important role in IgG homeostasis and antigen presentation by dendritic cells. FCGRT&B2M heterodimer protein (FcRn complex) consist of two subunits: p51, and p14 , and forms an MHC class I-like heterodimer.

分子别名(Synonyms)

FcRn alpha chain; FCGRT; FCRN; FCGRT&B2M

文献(References)

(1) Kiessling P , Lledo-Garcia R , Watanabe S , et al. The FcRn inhibitor rozanolixizumab reduces human serum IgG concentration: A randomized phase 1 study[J]. Science translational medicine, 2017, 9(414):eaan1208.

Note: HPLC results always come from liquid protein, due to absorption peak interference of trehalose in lyophilized powder.