FRI-HM464-100μg / 询价
FRI-HM464-500μg / 询价
FRI-HM464-500μgx2 / 询价
|
表达区间及表达系统(Source)
|
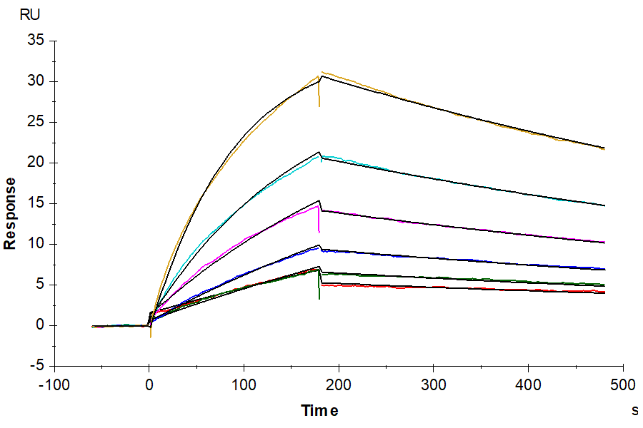
Recombinant Human Fc gamma RI/CD64 Protein is expressed from HEK293 with His tag and Avi tag at the C-Terminus.It contains Gln16-Pro288 [Accession | P12314-1]. |
|
分子量大小(Molecular Weight)
|
The protein has a predicted MW of 33.5 kDa. Due to glycosylation, the protein migrates to 50-70 kDa based on Bis-Tris PAGE result. |
|
纯度(Purity)
|
> 95% as determined by Bis-Tris PAGE |
|
内毒素(Endotoxin)
|
Less than 1 EU per μg by the LAL method. |
|
制剂(Formulation)
|
Lyophilized from 0.22μm filtered solution in PBS (pH 7.4). Normally 8% trehalose is added as protectant before lyophilization. |
|
重构方法(Reconstitution)
|
Dissolve the lyophilized protein in distilled water. Please refer to the Certificate of Analysis for detailed instructions. |
|
存储(Storage)
|
-20 to -80°C for 12 months as supplied from date of receipt. |
Recombinant Human Fc gamma RI/CD64 Protein is expressed from HEK293 with His tag and Avi tag at the C-Terminus.It contains Gln16-Pro288 [Accession | P12314-1].
The protein has a predicted MW of 33.5 kDa. Due to glycosylation, the protein migrates to 50-70 kDa based on Bis-Tris PAGE result.
> 95% as determined by Bis-Tris PAGE
Less than 1 EU per μg by the LAL method.
Lyophilized from 0.22μm filtered solution in PBS (pH 7.4). Normally 8% trehalose is added as protectant before lyophilization.
Dissolve the lyophilized protein in distilled water. Please refer to the Certificate of Analysis for detailed instructions.
-20 to -80°C for 12 months as supplied from date of receipt.
-80°C for 3 months after reconstitution.
Recommend to aliquot the protein into smaller quantities for optimal storage. Please minimize freeze-thaw cycles.
The Fc gamma Rs have been divided into three classes based on close relationships in their extracellular domains; these groups are designated Fc gamma RI (also known as CD64), Fc gamma RII (CD32), and Fc gamma RIII (CD16). Each group may be encoded by multiple genes and exist in different isoforms depending on species and cell type.
CD64; CD64a; Fc gamma RI; FCG1; Fc-gamma RIA; FCGR1; FcgRI; FCRI; FcRIA; FLJ18345; FCGR1A; IGFR1; Fcr; Fcgr; FCE1A; FcERI; FcγRI; Fc γRI; Fcγ RI; Fc γ RI
(1)Nimmerjahn F , Ravetch J V. Fcγ receptors as regulators of immune responses[J]. Nature Reviews Immunology, 2008, 8(1):34-47.
FRI-HM464-100μg / 询价
FRI-HM464-500μg / 询价
FRI-HM464-500μgx2 / 询价
| 货号* | 规格* | 名称 | 数量* | |
|---|---|---|---|---|
| 货号* | 形态* | 批号* | |
|---|---|---|---|
| 货号* | 形态* | 批号* | |
|---|---|---|---|
| 货号* | 批号* | |
|---|---|---|
| 货号* | 规格* | 批号* |
|---|---|---|
| Buffer 货号* | Buffer 规格* | Buffer 批号* |
|---|---|---|
| 货号* | 批号* | |
|---|---|---|