FGR-HM2BB | 价格

FGR-HM2BB-100μg / 询价

FGR-HM2BB-500μg / 询价

FGR-HM2BB-500μgx2 / 询价

Human FGFR2 beta (IIIb) Protein

产品信息(Product Info)
表达区间及表达系统(Source)

Recombinant Human FGFR2 beta (IIIb) Protein is expressed from HEK293 with hFc tag at the C-Terminus.
It contains Arg152-Glu378 [Accession | P21802-3].

分子量大小(Molecular Weight)

The protein has a predicted MW of 52.2 kDa. Due to glycosylation, the protein migrates to 68-75 kDa based on Bis-Tris PAGE result.

纯度(Purity)

> 95% as determined by Bis-Tris PAGE
> 95% as determined by HPLC

内毒素(Endotoxin)

Less than 1 EU per μg by the LAL method.

制剂(Formulation)

Lyophilized from 0.22 μm filtered solution in PBS (pH 7.4). Normally 8% trehalose is added as protectant before lyophilization.

重构方法(Reconstitution)

Dissolve the lyophilized protein in distilled water. Please refer to the Certificate of Analysis for detailed instructions.

存储(Storage)

-20 to -80°C for 12 months as supplied from date of receipt.
-80°C for 3 months after reconstitution.
Recommend to aliquot the protein into smaller quantities for optimal storage. Please minimize freeze-thaw cycles.

产品数据(Assay Data)
Bis-Tris PAGE

Human FGFR2 beta (IIIb) on Bis-Tris PAGE under reduced conditions. The purity is greater than 95%.

SEC-HPLC

The purity of Human FGFR2 beta (IIIb) is greater than 95% as determined by SEC-HPLC.

ELISA Data

Immobilized Human FGF-7, No Tag at 5 μg/ml (100 μl/well) on the plate. Dose response curve for Human FGFR2 beta (IIIb), hFc Tag with the EC50 of 0.28 μg/ml determined by ELISA. (QC Test)

 

Immobilized Human FGF basic, No Tag at 2μg/ml (100μl/well) on the plate. Dose response curve for Human FGFR2 beta (IIIb), hFc Tag with the EC50 of 33.0ng/ml determined by ELISA.

ELISA Data

Immobilized Human FGFR2 beta (IIIb) , hFc Tag at 0.5 μg/ml (100 μl/Well) on the plate. Dose response curve for Biotinylated Anti-FGFR2 (IIIb) Antibody, hFc Tag with the EC50 of 19.9 ng/ml determined by ELISA.

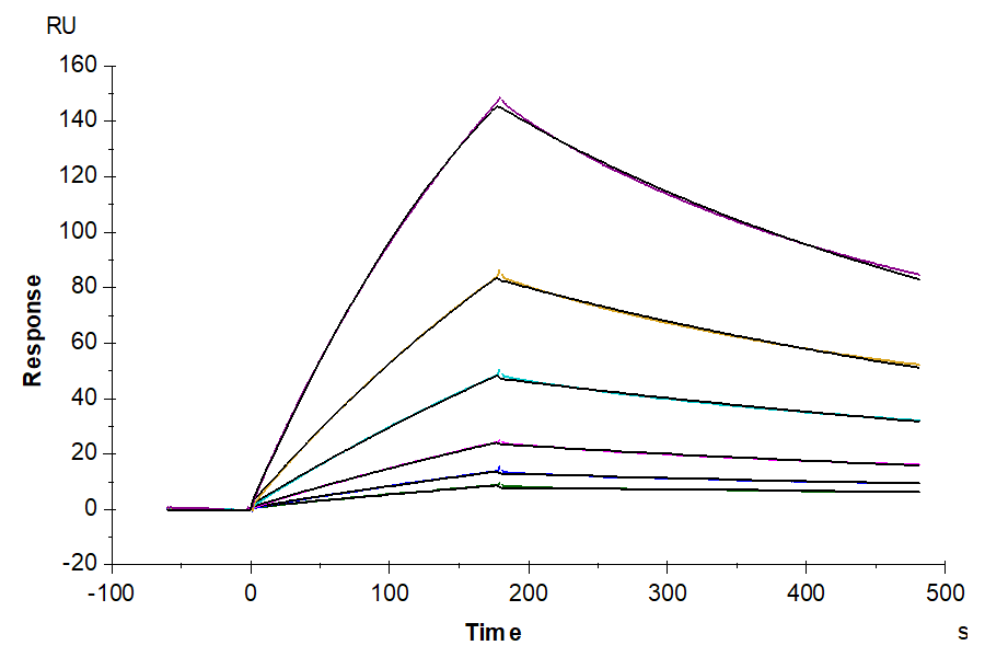
SPR Data

Human FGF10, No Tag immobilized on CM5 Chip can bind Human FGFR2 beta (IIIb), hFc Tag with an affinity constant of 8.43 nM as determined in SPR assay (Biacore T200).

背景(Background)

Four distinct genes encoding closely related FGF receptors, FGFR1-4, are known. All four genes for FGFRs encode proteins with an N-terminal signal peptide, three immunoglobulin (Ig)-like domains, an acid-box region containing a run of acidic residues between the IgI and IgII domains, a transmembrane domain and the split tyrosine-kinase domain. Multiple forms of FGFR1-3 are generated by alternative splicing of the mRNAs. A frequent splicing event involving FGFR1 and 2 results in receptors containing all three Ig domains, referred to as the alpha  isoform, or only IgII and IgIII, referred to as the beta isoform.

分子别名(Synonyms)

Fibroblast growth factor receptor 2;FGFR-2;KGFR;K-sam;Keratinocyte growth factor receptor;CD332;BEK;KSAM

文献(References)

(1) Katoh, Masaru. FGFR inhibitors: Effects on cancer cells, tumor microenvironment and whole-body homeostasis (Review)[J]. International Journal of Molecular Medicine, 2016.

Note: HPLC results always come from liquid protein, due to absorption peak interference of trehalose in lyophilized powder.