CLD-HM14NB-100μg / 询价
CLD-HM14NB-100μgx5 / 询价
CLD-HM14NB-100μgx10 / 询价
|
表达区间及表达系统(Source)
|
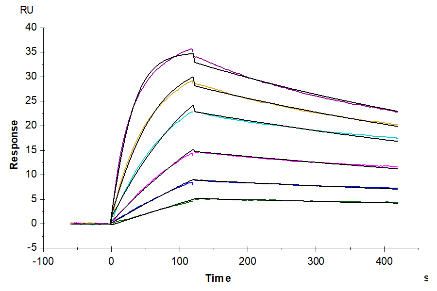
Recombinant Biotinylated Human Claudin 4 Nanodisc is expressed from HEK293 with His tag at the C-terminus.It contains Met1-Val209 [Accession | O14493]. |
|
分子量大小(Molecular Weight)
|
The protein has a predicted MW of 35.0 kDa. |
|
内毒素(Endotoxin)
|
Less than 1 EU per μg by the LAL method. |
|
制剂(Formulation)
|
Supplied as 0.22 μm filtered solution in PBS, 200mM L-arginine (pH 7.4). Notice: Not recommended for flow cytometry in mammalian cells. |
|
存储(Storage)
|
Valid for 6 months from date of receipt when stored at -80°C. |
|
阴性对照
(Recommended Negative Control)
|
CON-HM1NB |
Recombinant Biotinylated Human Claudin 4 Nanodisc is expressed from HEK293 with His tag at the C-terminus.It contains Met1-Val209 [Accession | O14493].
The protein has a predicted MW of 35.0 kDa.
Less than 1 EU per μg by the LAL method.
Supplied as 0.22 μm filtered solution in PBS, 200mM L-arginine (pH 7.4). Notice: Not recommended for flow cytometry in mammalian cells.
Valid for 6 months from date of receipt when stored at -80°C.
Recommend to aliquot the protein into smaller quantities for optimal storage. Please minimize freeze-thaw cycles.
Claudin-4 (CLDN4) is a key component of tight junctions (TJs) in epithelial cells. CLDN4 is overexpressed in many epithelial malignancies and correlates with cancer progression. Changes in CLDN4 expression have been associated with epigenetic factors (such as hypomethylation of promoter DNA), inflammation associated with infection and cytokines, and growth factor signaling. CLDN4 helps to maintain the tumor microenvironment by forming TJs and acts as a barrier to the entry of anticancer drugs into tumors.
Claudin-4; CLDN4; Claudin4; CPE-R; CPE R; CPETR1; WBSCR8
Fujiwara-Tani R, Mori S, Ogata R, Sasaki R, Ikemoto A, Kishi S, Kondoh M, Kuniyasu H. Claudin-4: A New Molecular Target for Epithelial Cancer Therapy. Int J Mol Sci. 2023 Mar 13;24(6):5494. doi: 10.3390/ijms24065494. PMID: 36982569; PMCID: PMC10051602.
CLD-HM14NB-100μg / 询价
CLD-HM14NB-100μgx5 / 询价
CLD-HM14NB-100μgx10 / 询价
| 货号* | 规格* | 名称 | 数量* | |
|---|---|---|---|---|
| 货号* | 形态* | 批号* | |
|---|---|---|---|
| 货号* | 形态* | 批号* | |
|---|---|---|---|
| 货号* | 批号* | |
|---|---|---|
| 货号* | 规格* | 批号* |
|---|---|---|
| Buffer 货号* | Buffer 规格* | Buffer 批号* |
|---|---|---|
| 货号* | 批号* | |
|---|---|---|