BTL-HM401 | 价格

BTL-HM401-100μg / 询价

BTL-HM401-500μg / 询价

BTL-HM401-500μgx2 / 询价

Non-biotinylated Human BTLA Protein

产品信息(Product Info)
表达区间及表达系统(Source)

Recombinant Human BTLA Protein is expressed from HEK293 with His tag and Avi tag at the C-Terminus.
It contains Lys31-Ser150 [Accession | Q7Z6A9-1].

分子量大小(Molecular Weight)

The protein has a predicted MW of 16.7 kDa. Due to glycosylation, the protein migrates to 35-45 kDa based on Bis-Tris PAGE result.

纯度(Purity)

> 95% as determined by Bis-Tris PAGE
> 95% as determined by HPLC

内毒素(Endotoxin)

Less than 1 EU per μg by the LAL method.

制剂(Formulation)

Lyophilized from 0.22μm filtered solution in PBS (pH 7.4). Normally 8% trehalose is added as protectant before lyophilization.

重构方法(Reconstitution)

Dissolve the lyophilized protein in distilled water. Please refer to the Certificate of Analysis for detailed instructions.

存储(Storage)

-20 to -80°C for 12 months as supplied from date of receipt.
-80°C for 3 months after reconstitution.
Recommend to aliquot the protein into smaller quantities for optimal storage. Please minimize freeze-thaw cycles.

产品数据(Assay Data)
Bis-Tris PAGE
Human BTLA on Bis-Tris PAGE under reduced condition. The purity is greater than 95%.
SEC-HPLC
The purity of Human BTLA is greater than 95% as determined by SEC-HPLC.
ELISA Data
Immobilized Human BTLA, His Tag at 2μg/ml (100μl/Well). Dose response curve for Human HVEM, hFc Tag with the EC50 of 11.5ng/ml determined by ELISA (QC Test).
 
Immobilized Human BTLA, His Tag at 0.5μg/ml (100μl/Well) on the plate. Dose response curve for Anti-BTLA Antibody, hFc Tag with the EC50 of 5.0ng/ml determined by ELISA.
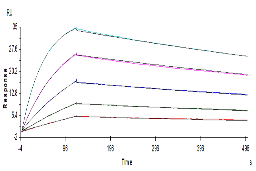
SPR Data
Anti-BTLA antibody captured on Protein A chip, can bind Human BTLA, His Tag with an affinity constant of 0.99nM as determined in a SPR assay (Biacore T200).
BLI Data
Loaded Anti-BTLA Antibody, hFc Tag on ProA-Biosensor can bind Human BTLA, His-Avi Tag with an affinity constant of 2.18 nM as determined in BLI assay (Gator® Prime).
背景(Background)

B- and T-lymphocyte attenuator (BTLA; CD272) is a 35 kDa type I transmembrane glycoprotein in the CD28 family of T cell costimulatory molecules. BTLA is a inhibitory receptor on lymphocytes that negatively regulates antigen receptor signaling via PTPN6/SHP-1 and PTPN11/SHP-2. BTLA may interact in cis (on the same cell) or in trans (on other cells) with TNFRSF14.

分子别名(Synonyms)

CD272; BTLA; BTLA1; FLJ16065; MGC129743

文献(References)

(1)Haymaker C L , Wu R C , Ritthipichai K , et al. BTLA marks a less-differentiated tumor-infiltrating lymphocyte subset in melanoma with enhanced survival properties[J]. OncoImmunology, 2015, 4(8):e1014246.

Note: HPLC results always come from liquid protein, due to absorption peak interference of trehalose in lyophilized powder.