SRP-HM172 | 价格

SRP-HM172-100μg / 询价

SRP-HM172-500μg / 询价

SRP-HM172-500μgx2 / 询价

Human SIRP alpha/CD172a Protein

产品信息(Product Info)
表达区间及表达系统(Source)

Recombinant Human SIRP alpha/CD172a Protein is expressed from HEK293 with His tag at the C-Terminus.
It contains Glu31-Arg370 [Accession | P78324-1].

分子量大小(Molecular Weight)

The protein has a predicted MW of 38.1 kDa. Due to glycosylation, the protein migrates to 50-65 kDa based on Bis-Tris PAGE result.

纯度(Purity)

> 95% as determined by Bis-Tris PAGE
> 95% as determined by HPLC

内毒素(Endotoxin)

Less than 1 EU per μg by the LAL method.

制剂(Formulation)

Lyophilized from 0.22μm filtered solution in PBS (pH 7.4). Normally 8% trehalose is added as protectant before lyophilization.

重构方法(Reconstitution)

Dissolve the lyophilized protein in distilled water. Please refer to the Certificate of Analysis for detailed instructions.

存储(Storage)

-20 to -80°C for 12 months as supplied from date of receipt.
-80°C for 3 months after reconstitution.
Recommend to aliquot the protein into smaller quantities for optimal storage. Please minimize freeze-thaw cycles.

产品数据(Assay Data)
Bis-Tris PAGE

Human SIRP alpha on Bis-Tris PAGE under reduced condition. The purity is greater than 95%.

SEC-HPLC

The purity of Human SIRP alpha is greater than 95% as determined by SEC-HPLC.

ELISA Data

Immobilized Human SIRP alpha, His Tag at 1μg/ml (100μl/Well) on the plate. Dose response curve for Human CD47, hFc Tag with the EC50 of 5.4ng/ml determined by ELISA (QC Test).

Blocking Data

Serial dilutions of Anti-SIRP alpha Antibody were added into Human SIRP alpha, His Tag: Biotinylated Human CD47, His Tag binding reactions.The half maximal inhibitory concentration (IC50) is 73.46ng/ml.

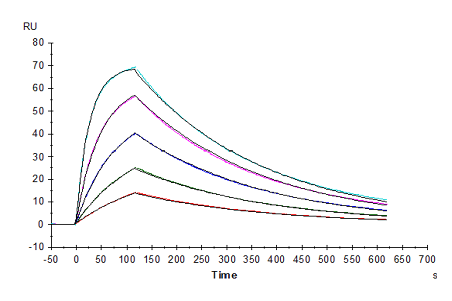
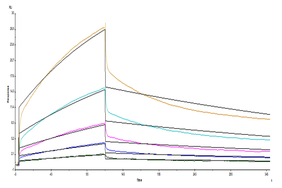
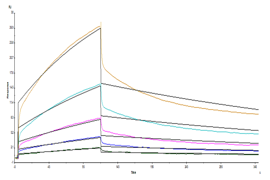
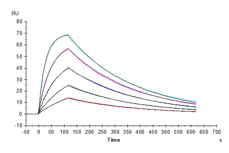
SPR Data

Human SIRP alpha, His Tag captured on Protein A Chip via Anti-His Antibody can bind Human CD47, hFc Tag with an affinity constant of 20.6nM as determined in SPR assay (Biacore T200).

 

Anti-SIRP alpha Antibody captured on CM5 Chip via Protein A can bind Human Sirpa, His Tag with an affinity constant of 2.81 nM as determined in SPR assay (Biacore T200).

背景(Background)

Signal regulatory protein α (SIRPα) is a regulatory membrane glycoprotein from SIRP family expressed mainly by myeloid cells and also by stem cells or neurons.SIRPα acts as inhibitory receptor and interacts with a broadly expressed transmembrane protein CD47 also called the "don´t eat me" signal.Cancer cells highly expressed CD47 that activate SIRP α and inhibit macrophage-mediated destruction.

分子别名(Synonyms)

CD172a; BIT; MFR; MYD1; MYD-1; P84; PTPNS1; SHPS1; SHPS-1; SIRP alpha; SIRPA;

文献(References)

(1)Weiskopf K , Ring A M , Ho C C M , et al. Engineered SIRP? Variants as Immunotherapeutic Adjuvants to Anticancer Antibodies[J]. Science, 2013, 341(6141):88-91.

Note: HPLC results always come from liquid protein, due to absorption peak interference of trehalose in lyophilized powder.