CD7-HM2RA | 价格

CD7-HM2RA-100μg / 询价

CD7-HM2RA-500μg / 询价

CD7-HM2RA-500μgx2 / 询价

Human IL-17R alpha/CD217 Protein

产品信息(Product Info)
表达区间及表达系统(Source)

Recombinant Human IL-17R alpha/CD217 Protein is expressed from HEK293 with hFc (IgG1) tag at the C-Terminus.
It contains Leu33-Trp320 [Accession | Q96F46-1].

分子量大小(Molecular Weight)

The protein has a predicted MW of 60.2 kDa. Due to glycosylation, the protein migrates to 75-90 kDa based on Bis-Tris PAGE result.

纯度(Purity)

> 95% as determined by Bis-Tris PAGE
> 95% as determined by HPLC

内毒素(Endotoxin)

Less than 1 EU per ug by the LAL method.

制剂(Formulation)

Lyophilized from 0.22μm filtered solution in PBS (pH 7.4). Normally 8% trehalose is added as protectant before lyophilization.

重构方法(Reconstitution)

Dissolve the lyophilized protein in distilled water. Please refer to the Certificate of Analysis for detailed instructions.

存储(Storage)

-20 to -80°C for 12 months as supplied from date of receipt.
-80°C for 3 months after reconstitution.
Recommend to aliquot the protein into smaller quantities for optimal storage. Please minimize freeze-thaw cycles.

产品数据(Assay Data)
Bis-Tris PAGE
Human IL-17R alpha on Bis-Tris PAGE under reduced condition. The purity is greater than 95%.
SEC-HPLC
The purity of Human IL-17R alpha is greater than 95% as determined by SEC-HPLC.
ELISA Data
Immobilized Human IL-17A, His Tag (Cat. ILA-HM118) at 1μg/ml (100μl/well) on the plate. Dose response curve for Human IL-17R alpha, hFc Tag with the EC50 of 72.2ng/ml determined by ELISA. (QC Test)
 
Immobilized Human IL-17F, His Tag (Cat. ILF-HM119) at 5μg/ml (100μl/well) on the plate. Dose response curve for Human IL-17 R alpha, hFc Tag with the EC50 of 1.75μg/ml determined by ELISA.
 
Immobilized Human IL-17A&F, His Tag (Cat. ILA-HM118) at 1μg/ml (100μl/well) on the plate. Dose response curve for Human IL-17R alpha, hFc Tag with the EC50 of 44.1ng/ml determined by ELISA.
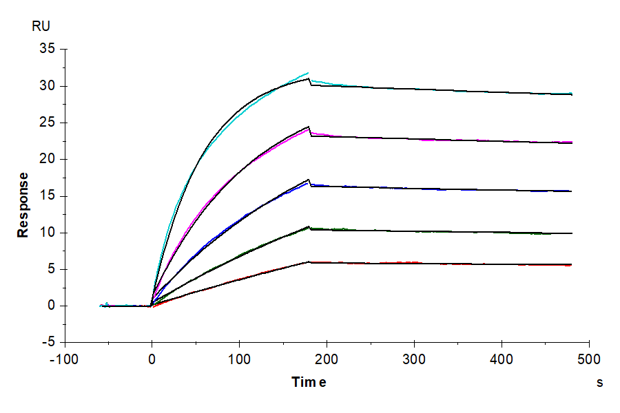
SPR Data
Human IL-17R alpha, hFc Tag captured on CM5 Chip via protein A can bind Biotinylated Human IL-17A, His-Avi Tag (Cat. ILA-HM418B) with an affinity constant of 2.18 nM as determined in SPR assay (Biacore T200).
BLI Data
Loaded Human IL-17R alpha, hFc Tag on ProA-Biosensor can bind Cynomolgus IL-17A, His Tag (Cat. ILA-CM117) with an affinity constant of 14.30 nM as determined in BLI assay (Gator® Prime).
背景(Background)

Interleukin 17 (also known as CTLA‑8) is a T cell‑expressed pleotropic cytokine. IL‑17 binds to IL‑17 receptor (IL‑17 R) which shares no homology with any known family of receptors. While the expression of IL‑17 is restricted to activated T cells, the IL‑17 R mRNA exhibits a broad tissue distribution, and has been detected in virtually all cells and tissues tested. The human IL‑17 R gene was localized to chromosome 22.

分子别名(Synonyms)

CD217; CDw217; IL-17RA; IL17R; CANDF5; IL-17R; IL-17R-alpha; IL17Rα

文献(References)

(1)Gaffen S L. An overview of IL-17 function and signaling[J]. Cytokine, 2008, 43(3):0-407.

Note: HPLC results always come from liquid protein, due to absorption peak interference of trehalose in lyophilized powder.