ILA-HM418B | 价格

ILA-HM418B-100μg / 询价

ILA-HM418B-500μg / 询价

ILA-HM418B-500μgx2 / 询价

Biotinylated Human IL-17A/CTLA-8 Protein

产品信息(Product Info)
表达区间及表达系统(Source)

Recombinant Biotinylated Human IL-17A/CTLA-8 Protein is expressed from HEK293 with Avi tag and His tag at the C-Terminus.
It contains Gly24-Ala155 [Accession | Q16552-1].

分子量大小(Molecular Weight)

The protein has a predicted MW of 18.2 kDa. Due to glycosylation, the protein migrates to 16-30 kDa based on Bis-Tris PAGE result.

纯度(Purity)

> 95% as determined by Bis-Tris PAGE
> 95% as determined by HPLC

内毒素(Endotoxin)

Less than 1 EU per μg by the LAL method.

制剂(Formulation)

Lyophilized from 0.22μm filtered solution in PBS (pH 7.4). Normally 8% trehalose is added as protectant before lyophilization.

重构方法(Reconstitution)

Dissolve the lyophilized protein in distilled water. Please refer to the Certificate of Analysis for detailed instructions.

存储(Storage)

-20 to -80°C for 12 months as supplied from date of receipt.
-80°C for 3 months after reconstitution.
Recommend to aliquot the protein into smaller quantities for optimal storage. Please minimize freeze-thaw cycles.

产品数据(Assay Data)
Bis-Tris PAGE

Biotinylated Human IL-17A on Bis-Tris PAGE under reduced condition. The purity is greater than 95%.

SEC-HPLC

The purity of Biotinylated Human IL-17A is greater than 95% as determined by SEC-HPLC.

ELISA Data

Immobilized Biotinylated Human IL-17A, His Tag at 2μg/ml (100μl/well) on the streptavidin precoated plate (5μg/ml). Dose response curve for Human IL-17R alpha, hFc Tag with the EC50 of 18.2ng/ml determined by ELISA (QC Test).

 

Immobilized Biotinylated Human IL-17A, His Avi Tag at 0.5μg/ml (100μl/well) on the streptavidin precoated plate (5μg/ml). Dose response curve for Anti-IL-17A Antibody, hFc Tag with the EC50 of 4.1ng/ml determined by ELISA.

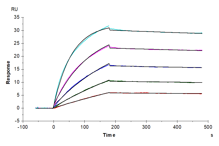
SPR Data

Human IL-17R alpha, hFc Tag captured on CM5 Chip via protein A can bind Biotinylated Human IL-17A, His-Avi Tag with an affinity constant of 2.18 nM as determined in SPR assay (Biacore T200).

背景(Background)

Interleukin‑17A (IL‑17A), also known as CTLA‑8, is a 15‑20 kDa glycosylated cytokine that plays an important role in anti‑microbial and chronic inflammation. The six IL‑17 cytokines (IL‑17A‑F) are encoded by separate genes but adopt a conserved cystine knot fold.IL-17A is a ligand for IL17RA and IL17RC. The heterodimer formed by IL17A and IL17F is a ligand for the heterodimeric complex formed by IL17RA and IL17RC. Involved in inducing stromal cells to produce proinflammatory and hematopoietic cytokines.

分子别名(Synonyms)

CTLA-8; IL17; IL17A; IL-17CTLA-8; interleukin 17A

文献(References)

(1)Gaffen S L. An overview of IL-17 function and signaling[J]. Cytokine, 2008, 43(3):0-407.

Note: HPLC results always come from liquid protein, due to absorption peak interference of trehalose in lyophilized powder.