ARA-HM12A | 价格

ARA-HM12A-100μg / 询价

ARA-HM12A-500μg / 询价

ARA-HM12A-500μgx2 / 询价

Human/Cynomolgus Activin RIIA/ACVR2A Protein

产品信息(Product Info)
表达区间及表达系统(Source)

Recombinant Human/Cynomolgus Activin RIIA/ACVR2A Protein is expressed from HEK293 with His tag at the C-Terminus.
It contains Ala20-Pro135 [Accession | P27037-1(Human) / G7PKJ4(Cynomolgus)].

分子量大小(Molecular Weight)

The protein has a predicted MW of 14.50 kDa. Due to glycosylation, the protein migrates to 30-45 kDa based on Bis-Tris PAGE result.

纯度(Purity)

> 95% as determined by Bis-Tris PAGE
> 95% as determined by HPLC

内毒素(Endotoxin)

Less than 1 EU per μg by the LAL method.

制剂(Formulation)

Lyophilized from 0.22 μm filtered solution in PBS (pH 7.4). Normally 8% trehalose is added as protectant before lyophilization.

重构方法(Reconstitution)

Dissolve the lyophilized protein in distilled water. Please refer to the Certificate of Analysis for detailed instructions.

存储(Storage)

-20 to -80°C for 12 months as supplied from date of receipt.
-80°C for 3 months after reconstitution.
Recommend to aliquot the protein into smaller quantities for optimal storage. Please minimize freeze-thaw cycles.

产品数据(Assay Data)
Bis-Tris PAGE
Human/Cynomolgus Activin RIIA on Bis-Tris PAGE under reduced condition. The purity is greater than 95%.
SEC-HPLC
The purity of Human/Cynomolgus Activin RIIA is greater than 95% as determined by SEC-HPLC.
ELISA Data
Immobilized Human Activin A, No Tag at 5 μg/ml (100 μl/well) on the plate. Dose response curve for Human/Cynomolgus Activin RIIA, His Tag with the EC50 of 0.23 μg/ml determined by ELISA (QC Test).
 
Immobilized Human/Cynomolgus Activin RIIA, His Tag at 1μg/ml (100μl/well) on the plate. Dose response curve for Biotinylated Human/Mouse/Rat GDF-8, Avi Tag with the EC50 of 9.0ng/ml determined by ELISA.
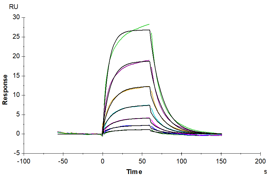
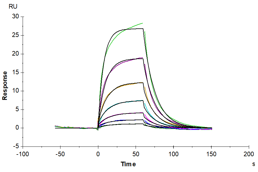
SPR Data
Human/Mouse/Rat GDF-8, No Tag immobilized on CM5 Chip can bind Human/Cynomolgus Activin RIIA, His Tag with an affinity constant of 0.87 μM as determined in SPR assay (Biacore T200).
背景(Background)

Activin A receptor type 2A (ACVR2A) is a membrane receptor in the transforming growth factor- beta (TGF-β signaling pathway, which is involved in the regulation of cell proliferation, migration, and apoptosis. Loss of ACVR2A has an important role in cancer progression and distant metastasis and may serve as a prognostic marker in patients with colon cancer.

分子别名(Synonyms)

ACTR-IIA; ACTRIIA; ACVR2A; ACVR2; ACTRII

文献(References)

Zhuo C, Hu D, Li J, Yu H, Lin X, Chen Y, Zhuang Y, Li Q, Zheng X, Yang C. Downregulation of Activin A Receptor Type 2A Is Associated with Metastatic Potential and Poor Prognosis of Colon Cancer. J Cancer. 2018 Sep 8;9(19):3626-3633. doi: 10.7150/jca.26790. PMID: 30310521; PMCID: PMC6171025.

Note: HPLC results always come from liquid protein, due to absorption peak interference of trehalose in lyophilized powder.