TSP-HM10R | 价格

TSP-HM10R-100μg / 询价

TSP-HM10R-500μg / 询价

TSP-HM10R-500μgx2 / 询价

Human TSLPR Protein

产品信息(Product Info)
表达区间及表达系统(Source)

Recombinant Human TSLPR Protein is expressed from HEK293 with His tag at the C-Terminus.
It contains Gly25-Lys231 [Accession | Q9HC73-1].

分子量大小(Molecular Weight)

The protein has a predicted MW of 25.1 kDa. Due to glycosylation, the protein migrates to 40-50 kDa based on Bis-Tris PAGE result.

纯度(Purity)

> 95% as determined by Bis-Tris PAGE
> 95% as determined by HPLC

内毒素(Endotoxin)

Less than 1 EU per μg by the LAL method.

制剂(Formulation)

Lyophilized from 0.22μm filtered solution in PBS (pH 7.4). Normally 8% trehalose is added as protectant before lyophilization.

重构方法(Reconstitution)

Dissolve the lyophilized protein in distilled water. Please refer to the Certificate of Analysis for detailed instructions.

存储(Storage)

-20 to -80°C for 12 months as supplied from date of receipt.
-80°C for 3 months after reconstitution.
Recommend to aliquot the protein into smaller quantities for optimal storage. Please minimize freeze-thaw cycles.

产品数据(Assay Data)
Bis-Tris PAGE

Human TSLPR on Bis-Tris PAGE under reduced condition. The purity is greater than 95%.

SEC-HPLC

The purity of Human TSLPR is greater than 95% as determined by SEC-HPLC.

ELISA Data

Immobilized Human TSLP, hFc Tag at 5μg/ml (100μl/well) on the plate. Dose response curve for Human TSLPR, His Tag with the EC50 of 0.44μg/ml determined by ELISA (QC Test).

 

Immobilized Human TSLPR, His Tag at 0.5μg/ml (100μl/Well) on the plate. Dose response curve for Anti-TSLPR Antibody, hFc Tag with the EC50 of 6.2ng/ml determined by ELISA.

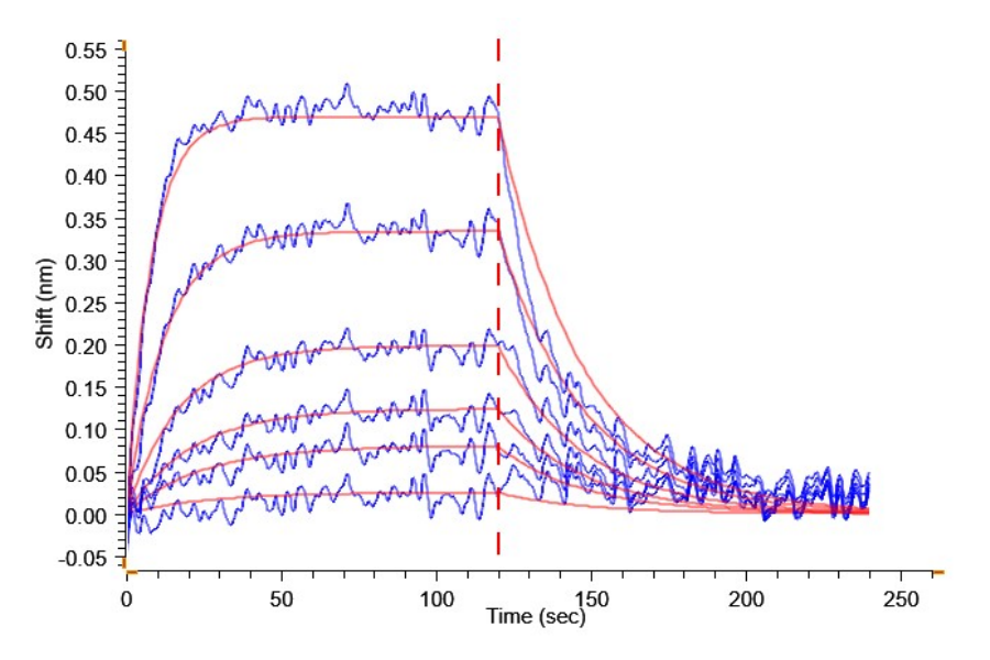
BLI Data

Loaded Human TSLP, hFc Tag on ProA-Biosensor can bind Human TSLPR, His Tag with an affinity constant of 82.50 nM as determined in BLI assay (Gator® Prime).

 

Loaded Anti-TSLPR Antibody, hFc Tag on ProA-Biosensor can bind Human TSLPR, His Tag with an affinity constant of 2.78 nM as determined in BLI assay (Gator® Prime).

背景(Background)

TSLP is an epithelial cell-derived cytokine synthesized in response to various stimuli, including protease allergens and microorganisms like viruses and bacteria. Biological functions of TSLP require heterodimer formation between the TSLP receptor (TSLPR) and IL-7 receptor-α, which polarize dendritic cells to induce type 2 inflammation and directly expand and/or activate Th2 cells, group 2 innate lymphoid cells, basophils, and other immune cells.

分子别名(Synonyms)

TSLP receptor; TSLPR; CRL2; CRLF2Y; CRLF2; IL-XR; p2RY8/CRLF2 fusion; CRLF2

文献(References)

(1) Nakajima S, Kabata H, Kabashima K, Asano K. Anti-TSLP antibodies: Targeting a master regulator of type 2 immune responses. Allergol Int. 2020 Apr;69(2):197-203. doi: 10.1016/j.alit.2020.01.001. Epub 2020 Jan 21. PMID: 31974038.

Note: HPLC results always come from liquid protein, due to absorption peak interference of trehalose in lyophilized powder.