TNF-HM40A | 价格

TNF-HM40A-100μg / 询价

TNF-HM40A-500μg / 询价

TNF-HM40A-500μgx2 / 询价

Non-biotinylated Human TNF alpha Protein (active trimer)

产品信息(Product Info)
表达区间及表达系统(Source)

Recombinant Human TNF alpha Protein is expressed from HEK293 with His tag and Avi tag at the C-Terminus.
It contains Val77-Leu233 [Accession | P01375].

分子量大小(Molecular Weight)

The protein has a predicted MW of 20.3 kDa. Due to glycosylation, the protein migrates to 21-25 kDa based on Bis-Tris PAGE result.

纯度(Purity)

> 90% as determined by Bis-Tris PAGE
> 95% as determined by HPLC

内毒素(Endotoxin)

Less than 1 EU per μg by the LAL method.

制剂(Formulation)

Lyophilized from 0.22μm filtered solution in PBS (pH 7.4). Normally 8% trehalose is added as protectant before lyophilization.

重构方法(Reconstitution)

Dissolve the lyophilized protein in distilled water. Please refer to the Certificate of Analysis for detailed instructions.

存储(Storage)

-20 to -80°C for 12 months as supplied from date of receipt.
-80°C for 3 months after reconstitution.
Recommend to aliquot the protein into smaller quantities for optimal storage. Please minimize freeze-thaw cycles.

产品数据(Assay Data)
Bis-Tris PAGE
Human TNF alpha on Bis-Tris PAGE under reduced condition. The purity is greater than 90%.
SEC-HPLC
The purity of Human TNF alpha is greater than 95% as determined by SEC-HPLC.
SEC-MALS
The purity of Human TNF alpha is greater than 95% and the molecular weight of this protein is around 55-76 kDa as determined by SEC-MALS.
ELISA Data
Immobilized Human TNF alpha, His Tag at 5μg/ml (100μl/well) on the plate. Dose response curve for Human TNFR2, mFc Tag (Cat. TNF-HM3R2) with the EC50 of 45.8ng/ml determined by ELISA (QC Test).
 
Immobilized Human TNF alpha, His Tag at 1μg/ml (100μl/Well) on the plate. Dose response curve for Human TNFR1, hFc Tag (Cat. TNF-HM2R1) with the EC50 of 3.8ng/ml determined by ELISA.
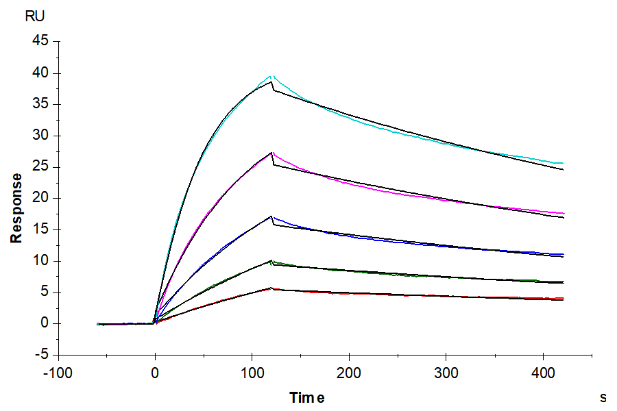
SPR Data
Human TNF alpha, His Tag captured on CM5 Chip via anti-his antibody can bind Human TNFR2, mFc Tag (Cat. TNF-HM3R2) with an affinity constant of 1.62 nM as determined in SPR assay (Biacore T200).
背景(Background)

Tumor necrosis factor alpha (TNF-alpha), also known as cachectin and TNFSF2, is the prototypic ligand of the TNF superfamily. It is a pleiotropic molecule that plays a central role in inflammation, immune system development, apoptosis, and lipid metabolism.Cytokine that binds to TNFRSF1A/TNFR1 and TNFRSF1B/TNFBR. It is mainly secreted by macrophages and can induce cell death of certain tumor cell lines. It is potent pyrogen causing fever by direct action or by stimulation of interleukin-1 secretion and is implicated in the induction of cachexia, Under certain conditions it can stimulate cell proliferation and induce cell differentiation.

分子别名(Synonyms)

APC1 protein; Cachectin; DIF; TNF; TNFalpha; TNFATNF; TNFSF1A; TNFSF2; TNFA; TNFα; DIF; TNFSF2;TNF-alpha

文献(References)

(1)Danese S , Colombel J F , Peyrin-Biroulet L , et al. Review article: the role of anti-TNF in the management of ulcerative colitis - past, present and future[J]. Alimentary Pharmacology & Therapeutics, 2013, 37(9):855-866.

Note: HPLC results always come from liquid protein, due to absorption peak interference of trehalose in lyophilized powder.