ILR-HM223B-100μg / 询价
ILR-HM223B-500μg / 询价
ILR-HM223B-500μgx2 / 询价
|
表达区间及表达系统(Source)
|
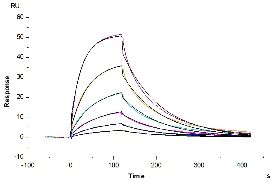
Recombinant Biotinylated Human IL-23R Protein (Primary Amine Labeling) is expressed from HEK293 with hFc (IgG1) tag at the C-terminus.It contains Gly24-Gly355 [Accession | Q5VWK5-1]. |
|
分子量大小(Molecular Weight)
|
The protein has a predicted MW of 64.81 kDa. Due to glycosylation, the protein migrates to 90-110 kDa based on Bis-Tris PAGE result. |
|
纯度(Purity)
|
> 95% as determined by Bis-Tris PAGE |
|
内毒素(Endotoxin)
|
Less than 1 EU per μg by the LAL method. |
|
制剂(Formulation)
|
Supplied as 0.22 μm filtered solution in PBS (pH 7.4). |
|
存储(Storage)
|
Valid for 12 months from date of receipt when stored at -80°C. |
Recombinant Biotinylated Human IL-23R Protein (Primary Amine Labeling) is expressed from HEK293 with hFc (IgG1) tag at the C-terminus.It contains Gly24-Gly355 [Accession | Q5VWK5-1].
The protein has a predicted MW of 64.81 kDa. Due to glycosylation, the protein migrates to 90-110 kDa based on Bis-Tris PAGE result.
> 95% as determined by Bis-Tris PAGE
Less than 1 EU per μg by the LAL method.
Supplied as 0.22 μm filtered solution in PBS (pH 7.4).
Valid for 12 months from date of receipt when stored at -80°C.
Recommend to aliquot the protein into smaller quantities for optimal storage. Please minimize freeze-thaw cycles.
Interleukin-23 (IL-23), a member of the IL-12 family of cytokines, is a heterodimeric cytokine. It is composed of subunits p40 (shared with IL-12) and p19 (an IL-12 p35-related subunit) and is secreted by several types of immune cells, such as natural killer cells and dendritic cells. The IL-23 receptor is composed of the subunit IL-12Rβ1 and the IL-23-specific subunit IL-23R. The binding of IL-23 to its specific cell surface receptor regulates a number of functions, including proliferation and differentiation of cells and secretion of cell factors.
IBD17; IL-23 R; IL-23 receptor
Li Y, Wang H, Lu H, Hua S. Regulation of Memory T Cells by Interleukin-23. Int Arch Allergy Immunol. 2016;169(3):157-62. doi: 10.1159/000445834. Epub 2016 Apr 22. PMID: 27100864.
ILR-HM223B-100μg / 询价
ILR-HM223B-500μg / 询价
ILR-HM223B-500μgx2 / 询价
| 货号* | 规格* | 名称 | 数量* | |
|---|---|---|---|---|
| 货号* | 形态* | 批号* | |
|---|---|---|---|
| 货号* | 形态* | 批号* | |
|---|---|---|---|
| 货号* | 批号* | |
|---|---|---|
| 货号* | 规格* | 批号* |
|---|---|---|
| Buffer 货号* | Buffer 规格* | Buffer 批号* |
|---|---|---|
| 货号* | 批号* | |
|---|---|---|