IL2-HM125 | 价格

IL2-HM125-100μg / 询价

IL2-HM125-500μg / 询价

IL2-HM125-500μgx2 / 询价

Human IL-25/IL-17E Protein

产品信息(Product Info)
表达区间及表达系统(Source)

Recombinant Human IL-25/IL-17E Protein is expressed from HEK293 with His tag at the C-Terminus.
It contains Tyr33-Gly177 [Accession | Q9H293-1].

分子量大小(Molecular Weight)

The protein has a predicted MW of 17.6 kDa. Due to glycosylation, the protein migrates to 25-30 kDa based on Bis-Tris PAGE result.

纯度(Purity)

> 95% as determined by Bis-Tris PAGE
> 90% as determined by HPLC

内毒素(Endotoxin)

Less than 1 EU per μg by the LAL method.

制剂(Formulation)

Lyophilized from 0.22μm filtered solution in PBS (pH 7.4). Normally 8% trehalose is added as protectant before lyophilization.

重构方法(Reconstitution)

Dissolve the lyophilized protein in distilled water. Please refer to the Certificate of Analysis for detailed instructions.

存储(Storage)

-20 to -80°C for 12 months as supplied from date of receipt.
-80°C for 3 months after reconstitution.
Recommend to aliquot the protein into smaller quantities for optimal storage. Please minimize freeze-thaw cycles.

产品数据(Assay Data)
Bis-Tris PAGE
Human IL-25 on Bis-Tris PAGE under reduced condition. The purity is greater than 95%.
SEC-HPLC
The purity of Human IL-25 is greater than 90% as determined by SEC-HPLC.
SEC-MALS
The purity of Human IL-25 is greater than 90% and the molecular weight of this protein is around 40-60 kDa as determined by SEC-MALS.
ELISA Data
Immobilized Human IL-25, His Tag at 5μg/ml (100μl/well) on the plate. Dose response curve for Human IL-17Rc, hFc Tag with the EC50 of 4.64μg/ml determined by ELISA (QC Test).
 
Immobilized Human IL-25, His Tag at 0.5μg/ml (100μl/well) on the plate. Dose response curve for Anti-IL-25 Antibody, hFc Tag with the EC50 of 2.1ng/ml determined by ELISA.
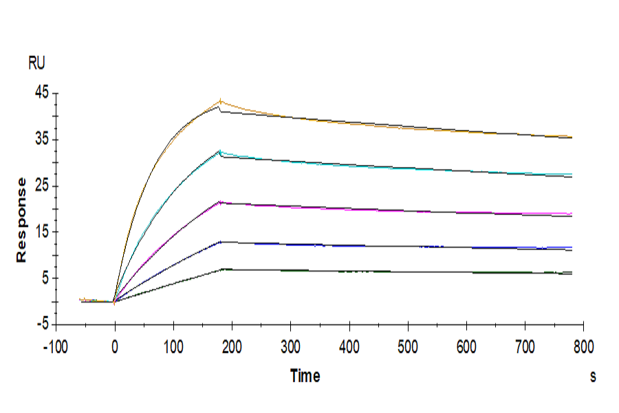
SPR Data
Human IL-17RB, His Tag immobilized on CM5 Chip can bind Human IL-25, His Tag with an affinity constant of 0.81nM as determined in SPR assay (Biacore T200).
BLI Data
Loaded Human IL-25, His Tag on Anti-His-Biosensor can bind Anti IL-25 Antibody, hFc Tag with an affinity constant of 91.60 pM as determined in BLI assay (Gator® Prime).
背景(Background)

IL-25, also known as IL-17E, is a member of the IL-17 cytokine family mostly produced by epithelial cells and innate immune cells. After binding to the IL-17RB/IL-17RA complex, IL-25 induces downstream signaling responses in epithelial cells and type 2 lymphocytes, which initiates, propagates, and sustains type 2 immunity. The function of IL-25 in allergic diseases such as asthma has been well established, and now also is extended to diseases such as inflammatory bowel disease and cancer.

分子别名(Synonyms)

IL-25; IL-17E; IL17E; Interleukin-17E; interleukin-25

文献(References)

(1) Xu M, Dong C. IL-25 in allergic inflammation. Immunol Rev. 2017 Jul;278(1):185-191. doi: 10.1111/imr.12558. PMID: 28658555.

Note: HPLC results always come from liquid protein, due to absorption peak interference of trehalose in lyophilized powder.