FSF-HM415B | 价格

FSF-HM415B-100μg / 询价

FSF-HM415B-500μg / 询价

FSF-HM415B-500μgx2 / 询价

Biotinylated Human TNFSF15 Protein

产品信息(Product Info)
表达区间及表达系统(Source)

Recombinant Biotinylated Human TNFSF15 Protein is expressed from HEK293 with His tag and Avi tag at the N-terminus
It contains Leu72-Leu251 [Accession | O95150-1].

分子量大小(Molecular Weight)

The protein has a predicted MW of 23.38 kDa. Due to glycosylation, the protein migrates to 27-37 kDa based on Bis-Tris PAGE result.

纯度(Purity)

> 90% as determined by Bis-Tris PAGE

内毒素(Endotoxin)

Less than 1 EU per μg by the LAL method.

制剂(Formulation)

Lyophilized from 0.22 μm filtered solution in PBS (pH 7.4). Normally 8% trehalose is added as protectant before lyophilization.

重构方法(Reconstitution)

Dissolve the lyophilized protein in distilled water. Please refer to the Certificate of Analysis for detailed instructions.

存储(Storage)

-20 to -80°C for 12 months as supplied from date of receipt.
-80°C for 3 months after reconstitution.
Recommend to aliquot the protein into smaller quantities for optimal storage. Please minimize freeze-thaw cycles.

产品数据(Assay Data)
Bis-Tris PAGE
Biotinylated Human TNFSF15 on Bis-Tris PAGE under reduced condition. The purity is greater than 90%.
ELISA Data
Immobilized Mouse DR3, His Tag at 1 μg/ml (100 μl/well) on the plate. Dose response curve for Biotinylated Human TNFSF15, His Tag with the EC50 of 45.6 ng/ml determined by ELISA (QC Test).
 
Immobilized Human DR3, hFc Tag at 5μg/ml (100μl/well) on the plate. Dose response curve for Biotinylated Human TNFSF15, His Tag with the EC50 of 72.2ng/ml determined by ELISA.
 
Immobilized Biotinylated Human TNFSF15, His Avi Tag at 1μg/ml(100μl/well) on the plate. Dose response curve for Human DcR3, hFc Tag with the EC50 of 13.1ng/ml determined by ELISA.
 
Immobilized Biotinylated Human TNFSF15, His Tag at 0.5 μg/ml (100 μl/well) on the streptavidin precoated plate (5 μg/ml). Dose response curve for Anti-TNFSF15 Antibody, hFc Tag with the EC50 of 2.9 ng/ml determined by ELISA.
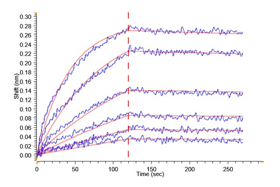
SPR Data
Human DR3, hFc Tag captured on CM5 Chip via Protein A can bind Biotinylated Human TNFSF15, His-Avi Tag with an affinity constant of 1.51 nM as determined in SPR assay (Biacore S200).
背景(Background)

TNF superfamily member 15 (TNFSF15), a cytokine largely produced by vascular endothelial cells and a specific inhibitor of the proliferation of these same cells, can inhibit VEGF-induced vascular permeability in vitro and in vivo, and that death receptor 3 (DR3), a cell surface receptor of TNFSF15, mediates TNFSF15-induced dephosphorylation of VEGFR2.

分子别名(Synonyms)

TL1A; VEGI-251; TNFSF15; TL1; VEGI; VEGI192A

文献(References)

(1) Valatas V, Kolios G, Bamias G. TL1A (TNFSF15) and DR3 (TNFRSF25): A Co-stimulatory System of Cytokines With Diverse Functions in Gut Mucosal Immunity. Front Immunol. 2019;10:583. Published 2019 Mar 27. doi:10.3389/fimmu.2019.00583