FSF-HM415 | 价格

FSF-HM415-100μg / 询价

FSF-HM415-500μg / 询价

FSF-HM415-500μgx2 / 询价

Human TNFSF15 Trimer Protein

产品信息(Product Info)
表达区间及表达系统(Source)

Recombinant Human TNFSF15 Trimer Protein is expressed from HEK293 with His tag and Flag tag at the N-terminus.
It contains Asp91-Leu251 trimer design [Accession | O95150-1].

分子量大小(Molecular Weight)

The protein has a predicted MW of 58.2 kDa. Due to glycosylation, the protein migrates to 65-75 kDa based on Bis-Tris PAGE result.

纯度(Purity)

> 95% as determined by Bis-Tris PAGE
> 95% as determined by HPLC

内毒素(Endotoxin)

Less than 1 EU per μg by the LAL method.

制剂(Formulation)

Lyophilized from 0.22 μm filtered solution in PBS (pH 7.4). Normally 8% trehalose is added as protectant before lyophilization.

重构方法(Reconstitution)

Dissolve the lyophilized protein in distilled water. Please refer to the Certificate of Analysis for detailed instructions.

存储(Storage)

-20 to -80°C for 12 months as supplied from date of receipt.
-80°C for 3 months after reconstitution.
Recommend to aliquot the protein into smaller quantities for optimal storage. Please minimize freeze-thaw cycles.

产品数据(Assay Data)
Bis-Tris PAGE

Human TNFSF15 Trimer on Bis-Tris PAGE under reduced condition. The purity is greater than 95%.

SEC-HPLC

The purity of Human TNFSF15 Trimer is greater than 95% as determined by SEC-HPLC.

ELISA Data

Immobilized Human TNFSF15 Trimer, His Tag at 2μg/ml (100μl/well) on the plate. Dose response curve for Human DR3, hFc Tag with the EC50 of 2.2μg/ml determined by ELISA. (QC Test)

 

Immobilized Human TNFSF15 Trimer, His Tag at 1 μg/ml (100 μl/Well) on the plate. Dose response curve for Anti-TNFSF15 Antibody, hFc Tag with the EC50 of 3.4 ng/ml determined by ELISA.

ELISA Data

Immobilized Human TNFSF15 (Trimer), His Tag at 1μg/ml(100μl/well) on the plate. Dose response curve for Human DcR3, hFc Tag with the EC50 of 38.5ng/ml determined by ELISA.

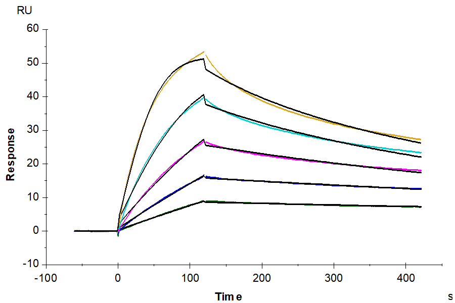
SPR Data

Human DR3, hFc Tag captured on CM5 Chip via Protein A can bind Human TNFSF15 Trimer, His Tag with an affinity constant of 0.10 nM as determined in SPR assay (Biacore T200).

SPR Data

Mouse DR3, His Tag immobilized on CM5 Chip can bind Human TNFSF15 (Trimer) , His Tag with an affinity constant of 3.06 nM as determined in SPR assay (Biacore T200).

背景(Background)

TNF superfamily member 15 (TNFSF15), a cytokine largely produced by vascular endothelial cells and a specific inhibitor of the proliferation of these same cells, can inhibit VEGF-induced vascular permeability in vitro and in vivo, and that death receptor 3 (DR3), a cell surface receptor of TNFSF15, mediates TNFSF15-induced dephosphorylation of VEGFR2.

分子别名(Synonyms)

TL1A; VEGI-251; TNFSF15; TL1; VEGI; VEGI192A

文献(References)

(1) Valatas V, Kolios G, Bamias G. TL1A (TNFSF15) and DR3 (TNFRSF25): A Co-stimulatory System of Cytokines With Diverse Functions in Gut Mucosal Immunity. Front Immunol. 2019;10:583. Published 2019 Mar 27. doi:10.3389/fimmu.2019.00583

Note: HPLC results always come from liquid protein, due to absorption peak interference of trehalose in lyophilized powder.