FSF-CM115 | 价格

FSF-CM115-100μg / 询价

FSF-CM115-500μg / 询价

FSF-CM115-500μgx2 / 询价

Cynomolgus/Rhesus macaque TNFSF15 Protein (active trimer)

产品信息(Product Info)
表达区间及表达系统(Source)

Recombinant Cynomolgus/Rhesus macaque TNFSF15 Protein is expressed from HEK293 with His tag at the N-Terminus.
It contains Leu72-Leu251 [Accession | A0A2K5UA22(Cynomolgus) / F6S8F9(Rhesus macaque)].

分子量大小(Molecular Weight)

The protein has a predicted MW of 21.52 kDa. Due to glycosylation, the protein migrates to 25-35 kDa based on Bis-Tris PAGE result.

纯度(Purity)

> 95% as determined by Bis-Tris PAGE
> 95% as determined by HPLC

内毒素(Endotoxin)

Less than 1 EU per μg by the LAL method.

制剂(Formulation)

Lyophilized from 0.22μm filtered solution in PBS (pH 7.4). Normally 8% trehalose is added as protectant before lyophilization.

重构方法(Reconstitution)

Dissolve the lyophilized protein in distilled water. Please refer to the Certificate of Analysis for detailed instructions.

存储(Storage)

-20 to -80°C for 12 months as supplied from date of receipt.
-80°C for 3 months after reconstitution.
Recommend to aliquot the protein into smaller quantities for optimal storage. Please minimize freeze-thaw cycles.

产品数据(Assay Data)
Bis-Tris PAGE

Cynomolgus/Rhesus macaque TNFSF15 on Bis-Tris PAGE under reduced condition. The purity is greater than 95%.

SEC-HPLC

The purity of Cynomolgus/Rhesus macaque TNFSF15 is greater than 95% as determined by SEC-HPLC.

SEC-MALS

The purity of Cynomolgus/Rhesus macaque TNFSF15 is greater than 85% and the molecular weight of this protein is around 60-98 kDa as determined by SEC-MALS.

ELISA Data

Immobilized Cynomolgus/Rhesus macaque TNFSF15, His Tag at 2μg/ml (100μl/well) on the plate. Dose response curve for Anti-TNFSF15 Antibody, hFc Tag with the EC50 of 3.0ng/ml determined by ELISA (QC Test).

 

Immobilized Cynomolgus/Rhesus macaque TNFSF15, His Tag at 1μg/ml(100μl/well) on the plate. Dose response curve for Human DcR3, hFc Tag with the EC50 of 20.8ng/ml determined by ELISA.

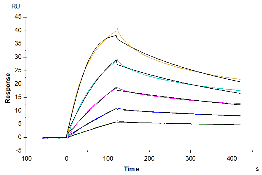
SPR Data

Mouse DR3, His Tag immobilized on CM5 Chip can bind Cynomolgus/Rhesus macaque TNFSF15, His Tag with an affinity constant of 11.70 nM as determined in SPR assay (Biacore T200).

BLI Data

Loaded Human DR3, hFc Tag on ProA-Biosensor, can bind Cynomolgus/Rhesus macaque TNFSF15, His Tag with an affinity constant of 1.30 nM as determined in BLI assay (Gator).

背景(Background)

TNF superfamily member 15 (TNFSF15), a cytokine largely produced by vascular endothelial cells and a specific inhibitor of the proliferation of these same cells, can inhibit VEGF-induced vascular permeability in vitro and in vivo, and that death receptor 3 (DR3), a cell surface receptor of TNFSF15, mediates TNFSF15-induced dephosphorylation of VEGFR2.

分子别名(Synonyms)

TL1A; VEGI-251; TNFSF15; TL1; VEGI; VEGI192A; TNF superfamily member 15

文献(References)

(1)Valatas V, Kolios G, Bamias G. TL1A (TNFSF15) and DR3 (TNFRSF25): A Co-stimulatory System of Cytokines With Diverse Functions in Gut Mucosal Immunity. Front Immunol. 2019;10:583. Published 2019 Mar 27. doi:10.3389/fimmu.2019.00583

Note: HPLC results always come from liquid protein, due to absorption peak interference of trehalose in lyophilized powder.