CD2-HM1N37 | 价格

CD2-HM1N37-100μg / 询价

CD2-HM1N37-100μgx5 / 询价

CD2-HM1N37-100μgx10 / 询价

Human CD20/MS4A1 Nanodisc

产品信息(Product Info)
表达区间及表达系统(Source)

Recombinant Human CD20/MS4A1 Nanodisc is expressed from HEK293 with His tag at the C-terminus (FITC-equivalent protein is fused on cytoplasmic part).
It contains Met1-Pro297 [Accession | P11836-1].

分子量大小(Molecular Weight)

The protein has a predicted MW of 34.3 kDa.

内毒素(Endotoxin)

Less than 1 EU per μg by the LAL method.

制剂(Formulation)

Supplied as 0.22 μm filtered solution in PBS (pH 7.4). Notice: Not recommended for flow cytometry in mammalian cells.

存储(Storage)

Valid for 6 months from date of receipt when stored at -80°C.
Recommend to aliquot the protein into smaller quantities for optimal storage. Please minimize freeze-thaw cycles.

产品数据(Assay Data)
ELISA Data

Immobilized Rituximab, hFc Tag at 2μg/ml (100μl/well) on the plate. Dose response curve for Human CD20 Nanodisc, His Tag with the EC50 of 14.6ng/ml determined by ELISA (QC Test).

 

Immobilized Human CD20 Nanodisc, His Tag at 5μg/ml (100μl/well) on the plate. Dose response curve for Obinutuzumab, hFc Tag with the EC50 of 35.3ng/ml determined by ELISA.

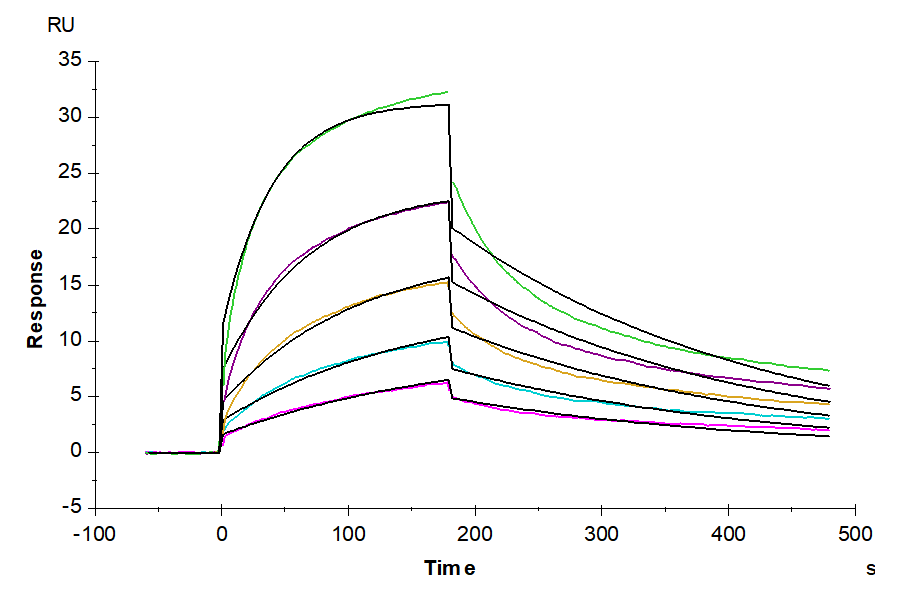
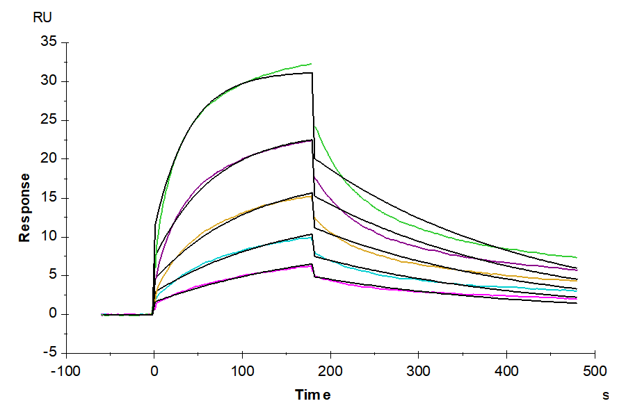
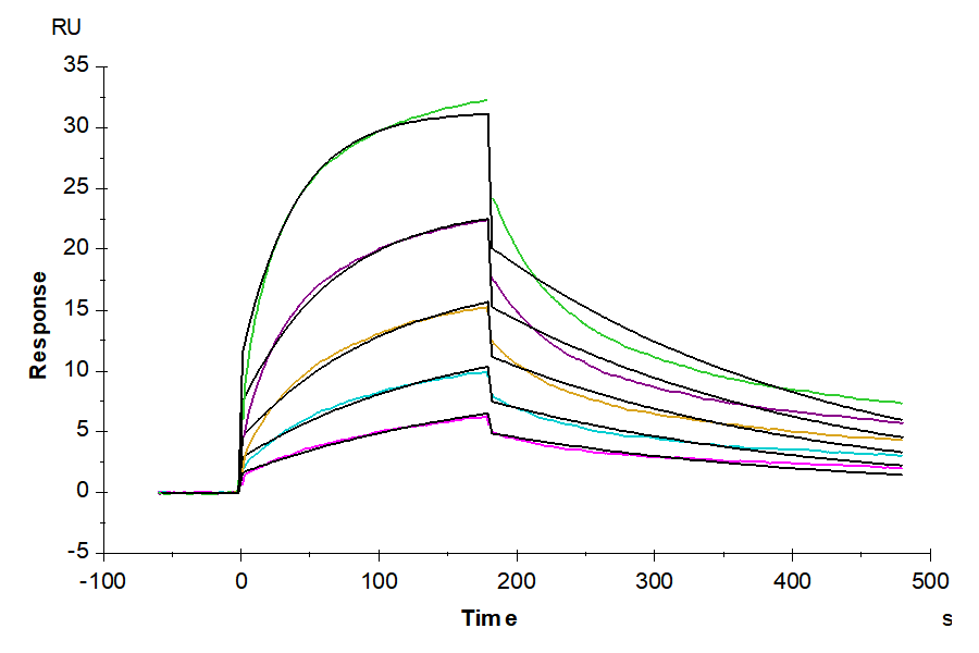
SPR Data

Human CD20 Nanodisc, His Tag captured on CM5 Chip via anti-his antibody can bind Rituximab, hFc Tag with an affinity constant of 3.09 nM as determined in SPR assay (Biacore T200).

 

Human CD20 Nanodisc, His Tag captured on CM5 Chip via anti-his antibody can bind Ofatumumab, hFc Tag with an affinity constant of 153.07 nM as determined in SPR assay (Biacore T200).

背景(Background)

B-lymphocyte antigen CD20 or CD20 is an activated-glycosylated phosphoprotein expressed on the surface of all B-cells beginning at the pro-B phase (CD45R , CD117) and progressively increasing in concentration until maturity.CD20 is the target of the monoclonal antibodies rituximab, ocrelizumab, obinutuzumab, ofatumumab, ibritumomab tiuxetan, tositumomab, and ublituximab, which are all active agents in the treatment of all B cell lymphomas, leukemias, and B cell-mediated autoimmune diseases.

分子别名(Synonyms)

MS4A1; CD20; MS4A-1; B1; Bp35; CD20 receptor; CD20S7; CVID5; LEU-16; Ly-44; MS4A2; S7

文献(References)

(1)Ma D , Mcdevitt M R , Barendswaard E , et al. Radioimmunotherapy for model B cell malignancies using 90Y-labeled anti-CD19 and anti-CD20 monoclonal antibodies[J]. Leukemia, 2002, 16(1):60-66.

(2)Jager U , Fridrik M , Zeitlinger M , et al. Rituximab serum concentrations during immuno-chemotherapy of follicular lymphoma correlate with patient gender, bone marrow infiltration and clinical response[J]. Haematologica, 2012, 97(9):1431-1438.