EGF-HE001 | 价格

EGF-HE001-100μg / 询价

EGF-HE001-500μg / 询价

EGF-HE001-500μgx2 / 询价

Human EGF Protein

产品信息(Product Info)
表达区间及表达系统(Source)

Recombinant Human EGF Protein is expressed from E.coli without tag.
It contains Asn971-Arg1023 [Accession | P01133-1].

分子量大小(Molecular Weight)

The protein has a predicted MW of 5.6 kDa same as Bis-Tris PAGE result.

纯度(Purity)

> 95% as determined by Bis-Tris PAGE
> 95% as determined by HPLC

内毒素(Endotoxin)

Less than 0.2 EU per μg by the LAL method.

制剂(Formulation)

Lyophilized from 0.22μm filtered solution in PBS (pH 7.4). Normally 8% trehalose is added as protectant before lyophilization.

重构方法(Reconstitution)

Dissolve the lyophilized protein in distilled water. Please refer to the Certificate of Analysis for detailed instructions.

存储(Storage)

-20 to -80°C for 12 months as supplied from date of receipt.
-80°C for 3 months after reconstitution.
Recommend to aliquot the protein into smaller quantities for optimal storage. Please minimize freeze-thaw cycles.

产品数据(Assay Data)
Bis-Tris PAGE

Human EGF on Bis-Tris PAGE under reduced condition. The purity is greater than 95%.

SEC-HPLC

The purity of Human EGF is greater than 95% as determined by SEC-HPLC.

Cell Based Assay

Measured in a cell proliferation assay using Balb/C 3T3 mouse embryonic fibroblasts. The ED50 for this effect is typically 0.1 - 0.2 ng/mL (QC Test).

ELISA Data

Immobilized Human EGF, No Tag at 5μg/ml (100μl/well) on the plate. Dose response curve for Human EGFR, hFc Tag with the EC50 of 1.56μg/ml determined by ELISA (QC Test).

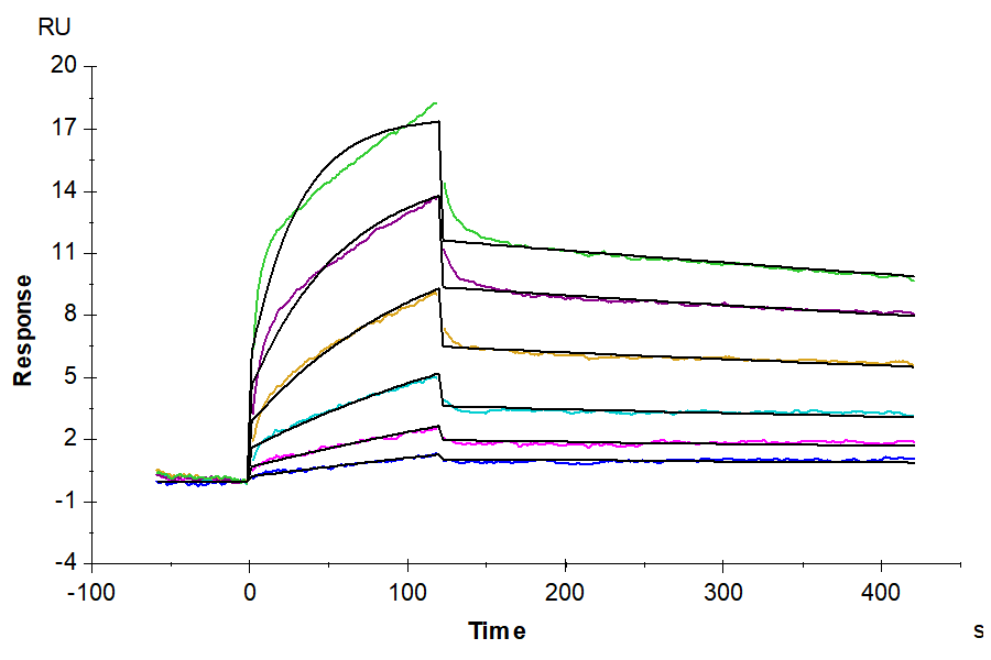
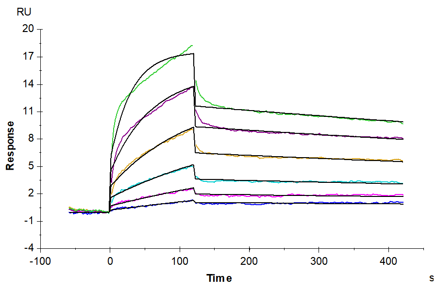
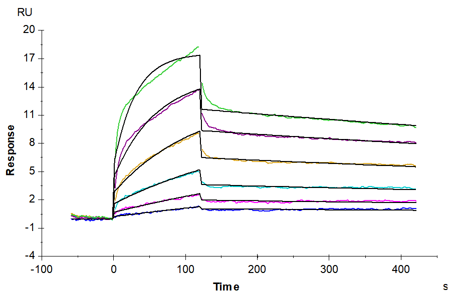
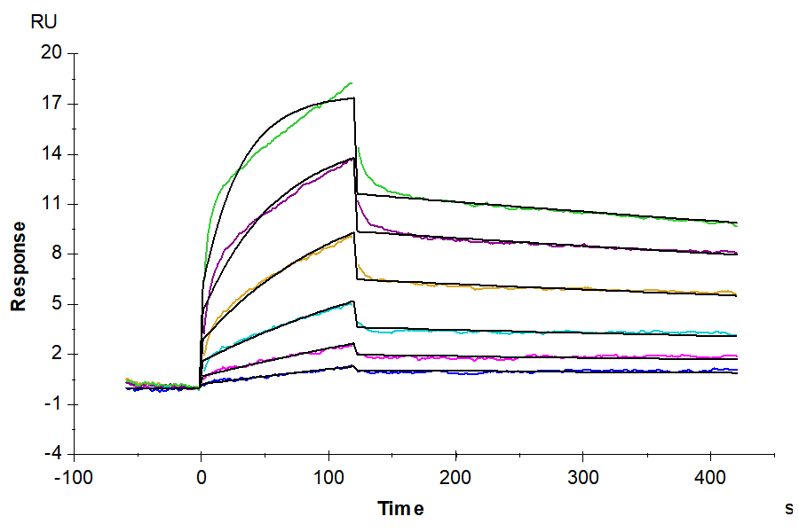
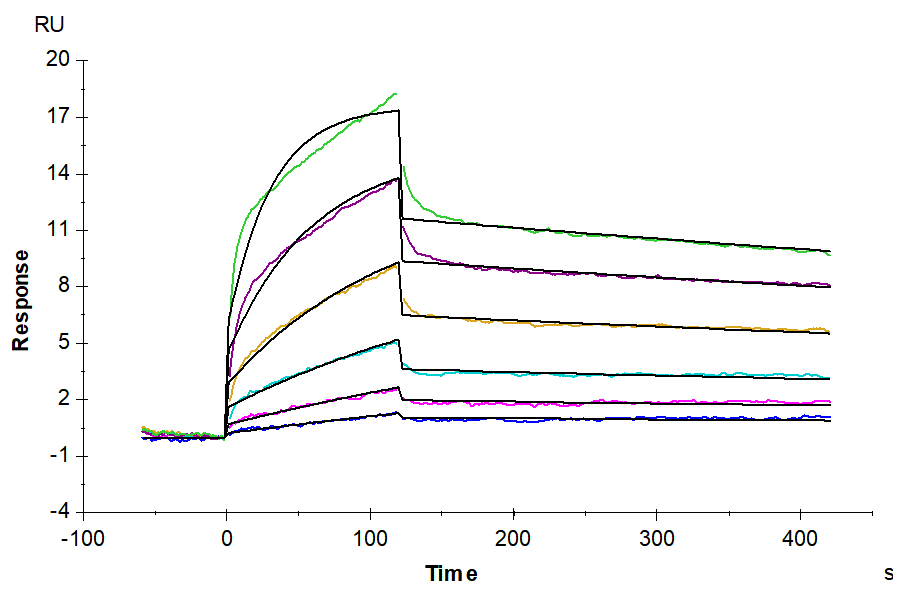
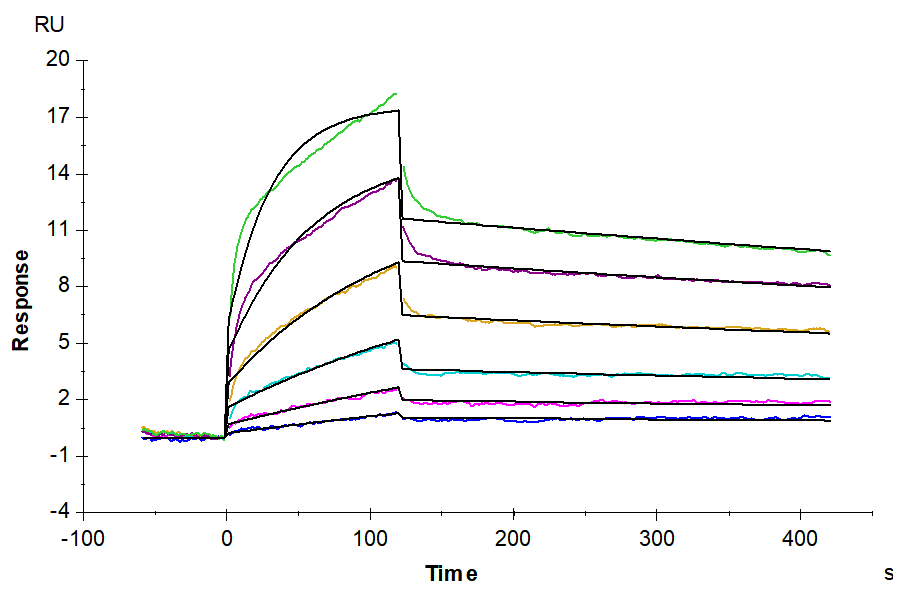
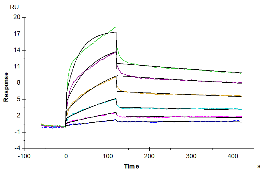
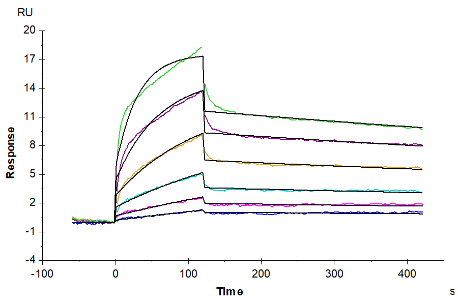
SPR Data

Human EGFR, His Tag captured on CM5 Chip via anti-his antibody can bind Human EGF, No Tag with an affinity constant of 1.33 nM as determined in SPR assay (Biacore T200).

背景(Background)

The epidermal growth factor (EGF) family of peptides encodes several proteins that can function as growth factors. The EGF-like peptides, with the exception of proteins of the EGF-CFC subfamily, bind and activate tyrosine kinase receptors that belong to the erbB family.

分子别名(Synonyms)

HOMG4; EGF; URG

文献(References)

(1)Normanno N, Bianco C, De Luca A, Salomon DS. The role of EGF-related peptides in tumor growth. Front Biosci. 2001 May 1;6:D685-707. doi: 10.2741/normano. PMID: 11333208.

Note: HPLC results always come from liquid protein, due to absorption peak interference of trehalose in lyophilized powder.